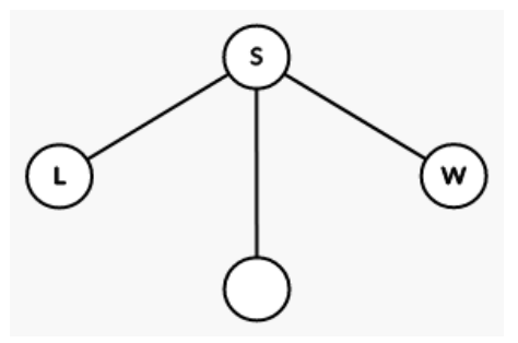
Diberikan denah ruangan seperti pada gambar di bawah.

Mula-mula Pak Dengklek berada pada ruangan S. Setiap saat, dengan peluang yang sama Pak Dengklek berpindah ke ruangan lain yang bersebelahan dengan ruangan saat ini. Jika Pak Dengklek sampai pada ruangan W, Pak Dengklek langsung menang. Sebaliknya, jika sampai pada ruangan L, Pak Dengklek langsung kalah. Selain itu, Pak Dengklek akan tetap berpindah-pindah selama belum menang maupun kalah. Berapa peluang Pak Dengklek untuk menang?
0
⅓
½
⅔
1
Masuk untuk menulis jawaban