Deskripsi Untuk Soal Nomor 23 dan 25
DESKRIPSI CERITA
Pak Dengklek adalah seorang turis yang baru saja tiba di Negara Toki. Negara Toki terdiri dari N buah kota yang dihubungi dengan N-1 jalan raya. Setiap jalan raya hanya menghubungkan tepat dua kota berbeda. Diketahui bahwa kota-kota Negara Toki tersusun sedemikian sehingga terdapat cara untuk pergi dari setiap kota ke kota lain manapun. Kota-kota Negara Toki dinomori dari 1 hingga N.
Pak Dengklek mulai dari kota 1. Ia ingin mengunjungi berbagai kota di Negara Toki. Namun, karena Pak Dengklek mudah bosan, ia tidak ingin mengunjungi kota yang sama lebih dari sekali. Dari suatu kota X, Pak Dengklek dapat pergi ke kota Y jika Pak Dengklek belum pernah mengunjungi kota tersebut sebelumnya dan kota X dan kota Y terhubungi secara langsung dengan jalan raya. Tentu saja, setelah sampai pada kota Y, Pak Dengklek tidak ingin pernah mengunjungi kota X lagi.
Setiap kota di Negara Toki menyediakan oleh-oleh yang khas dari kota tersebut. Saat Pak Dengklek berada pada suatu kota i, Pak Dengklek bisa memilih untuk membeli sebuah oleh-oleh dari kota tersebut yang berharga Ai rupiah.
Sebelum Pak Dengklek mulai bepergian, ia perlu membuat rencana pembelian oleh-olehnya, yaitu dari kota mana saja yang akan ia beli. Tentu saja, rencana tersebut harus bisa diterapkan. Dengan kata lain, harus terdapat cara untuk mengunjungi setiap kota untuk masing-masing oleh-oleh yang ingin dibeli jika memulai perjalanan dari kota 1 tanpa mengunjungi kota yang sama lebih dari sekali, serta Pak Dengklek harus mempunyai uang yang cukup. Jika awalnya Pak Dengklek memiliki anggaran K rupiah, berarti jumlah harga oleh-oleh pada rencana pembeliannya tidak boleh melebihi K rupiah. Diperlukan juga bahwa pada rencana pembeliannya, Pak Dengklek harus membeli setidaknya satu oleh-oleh.
Dua buah rencana pembelian oleh-oleh dikatakan berbeda jika dan hanya jika terdapat setidaknya satu kota yang oleh-olehnya hanya Pak Dengklek beli di salah satu dari dua rencana tersebut.
Pak Dengklek belum menentukan berapa anggaran untuk perjalanan ini. Maka, untuk masing-masing K dari 1 hingga M, Pak Dengklek ingin mencari tahu berapa banyaknya rencana pembelian oleh-oleh berbeda yang bisa diterapkan!
Karena jawaban bisa sangat besar, keluarkan jawaban modulo 1 000 000 000.
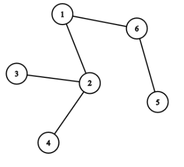
Untuk menjawab pertanyaan 1 dan 2, perhatikan gambar di bawah ini.

Pak Dengklek berencana untuk membeli oleh-oleh dari kota 2, kota 3, dan kota 4. Diketahui bahwa harga oleh-oleh dari kota 2, kota 3, dan kota 4 secara berturut-turut adalah 2, 3, dan 4 rupiah. Diketahui juga bahwa Pak Dengklek mempunyai anggaran 10 rupiah. Apakah rencana pembelian oleh-oleh tersebut bisa diterapkan? Jawab 0 untuk TIDAK, dan 1 untuk YA.
Jawaban: ............... {tuliskan jawaban dalam bentuk ANGKA saja}
Untuk menjawab pertanyaan 1 dan 2, perhatikan gambar di bawah ini.
[Gambar: Pohon (tree graph) dengan 6 node (kota 1-6). Sisi-sisi: 1-2, 1-6, 2-3, 3-4, 2-4, 6-5. Kota 1 di atas, kota 6 di kanan atas, kota 3 di kiri bawah, kota 2 di tengah, kota 4 di bawah, kota 5 di kanan bawah.]
Misalkan Pak Dengklek memiliki anggaran tak terbatas. Ada berapa banyaknya rencana pembelian oleh-oleh berbeda yang bisa diterapkan?
Jawaban: ............... {tuliskan jawaban dalam bentuk ANGKA saja}
Buatlah program menggunakan bahasa C/C++ sesuai deskripsi cerita di atas untuk menentukan maksimum jumlah nilai artefak, dengan ketentuan sebagai berikut:
Format Masukan:
Baris pertama berisi dua buah bilangan: N (banyaknya kota) dan M (anggaran maksimum Pak Dengklek).
Baris kedua berisi N buah bilangan bulat yang menyatakan nilai-nilai A1, A2, A3, …, AN yaitu harga oleh-oleh dari tiap kota.
N-1 baris selanjutnya menyatakan jalan raya pada Negara Toki. Pada baris ke-i, terdapat dua buah bilangan bulat Ui dan Vi yang menyatakan jalan raya ke-i menghubungi kota Ui dan Vi.
Format Keluaran:
Sebuah baris berisi M buah bilangan bulat. Bilangan ke-K menyatakan banyaknya rencana pembelian oleh-oleh berbeda jika anggaran Pak Dengklek sebesar K rupiah, untuk setiap K dari 1 sampai M.
Contoh Masukan dan Keluaran:
| Contoh Masukan | Contoh Keluaran |
|---|---|
5 10 5 7 2 3 2 1 2 2 3 3 4 4 5 | 0 2 3 4 7 7 11 12 15 18 |
6 10 1 2 3 4 5 6 1 2 2 3 2 4 1 6 6 5 | 1 2 4 6 9 13 15 15 15 15 |
Penjelasan Contoh:
Pada contoh pertama, jika anggaran Pak Dengklek sebesar 5 rupiah, salah satu contoh rencana pembelian oleh-oleh yang mungkin adalah membeli oleh-oleh dari kota 1. Contoh rencana lain adalah membeli oleh-oleh dari kota 3 dan kota 4. Perhatikan bahwa contoh kasus uji pertama memenuhi Subtask 2.
Batasan:
Untuk semua kasus uji berlaku:
Subtask 1 (20%)
Subtask ini hanya berisi satu kasus uji, yaitu sebagai berikut:
15 20 1 2 3 4 5 1 2 3 4 5 1 2 3 4 5 1 2 1 3 2 4 2 5 3 6 3 7 4 8 4 9 5 10 5 11 6 12 6 13 7 14 7 15 |
Subtask 2 (30%)
Pada subtask ini, dijamin bahwa:
Subtask 3 (50%)
Tidak ada batasan tambahan.
Masuk untuk menulis jawaban