Kwik mempunyai tiga variabel boolean P, Q, dan R. Kwik ingin membuat sebuah operasi logika yang mengembalikan nilai TRUE jika dan hanya jika minimal dua variabel dari P, Q, atau R mempunyai nilai TRUE. Operasi logika mana yang memenuhi kriteria Kwik tersebut?
Pak Dengklek menemukan sebuah kotak mainan di dalam gudang rumahnya. Ternyata, kotak tersebut milik lima bebek Pak Dengklek: Kwak, Kwik, Kwuk, Kwek, dan Kwok. Terdapat lima buah bebek karet berwarna merah, biru, hijau, kuning, dan ungu. Diketahui bahwa setiap bebek karet dimiliki oleh tepat satu bebek. Diketahui juga bahwa setiap bebek pasti memiliki bebek karet dengan warna yang sesuai dengan salah satu warna kesukaannya. Jika diberikan informasi sebagai berikut:
Siapa pemilik bebek karet berwarna hijau?
Karena merasa bebeknya sudah terlalu banyak, Pak Dengklek ingin mengurangi jumlah bebeknya dengan cara menjual semua bebek yang tidak 'unggul'. Pak Dengklek menyiapkan 10 soal dari nomor 1 sampai 10 untuk dikerjakan semua bebeknya (benar bernilai 1, salah bernilai 0). Bebek dikatakan 'unggul' jika mendapat nilai paling sedikit 8. Kwak adalah bebek yang sangat cerdas dan telah mengetahui jawaban yang benar dalam menjawab soal apapun. Namun, Kwak tidak selalu ingin memberikan jawaban yang benar. Agar Kwak tidak dijual, berapa banyaknya cara Kwak memilih soal yang akan dijawab dengan benar jika Kwak menjawab soal nomor 1, 3, dan 5 dengan benar?
Kwek mengikuti kegiatan maraton bebek dengan panjang lintasan tak terhingga. Pertama-tama Kwek dapat berlari 100 km sebelum lelah. Setelah istirahat, Kwek akan lelah lagi setelah menempuh ⅗ jarak yang telah ditempuh sejak lelah yang sebelumnya, dan begitu seterusnya. Berapakah total jarak lintasan yang ditempuh Kwek?
Pak Dengklek memiliki bebek yang jumlahnya tak terhingga. Dalam 30 hari ke depan, Pak Dengklek ingin memandikan bebek-bebeknya. Karena bebek-bebeknya malas mandi, Pak Dengklek menunjuk 5 bebek paling setianya yaitu Kwak, Kwik, Kwuk, Kwek, dan Kwok untuk mandi di hari pertama sekaligus sebagai inspirasi bagi bebek-bebek yang lain agar mau mandi. Setiap hari setelah hari pertama, bebek yang mau mandi ada sebanyak bebek yang mandi di hari sebelumnya ditambah 3. Tidak ada bebek yang mandi 2 kali. Setelah 30 hari berlalu, berapa banyak bebek yang sudah mandi?
Terdapat 2 kotak tertutup yang masing-masing berisi 40 buah. Sebanyak 7 dari 80 buah tersebut dalam keadaan busuk, dan sisanya segar. Diketahui beberapa pernyataan berikut:
Manakah pernyataan di atas yang pasti benar.
Sebuah situs undian gratis berniat mengundi sebuah string berisi huruf dengan panjang 3. Mereka membuka slot tak terbatas untuk menebaknya. Tebakan benar akan mendapat hadiah 10 miliar. Pak Dengklek mengajak 17.576 bebeknya untuk ikut menebak dari AAA hingga ZZZ urut secara leksikografis (bebek ke-1 menebak AAA, bebek ke-2 menebak AAB, bebek ke-17.576 menebak ZZZ) agar dipastikan memenangkan hadiah. Maka bebek yang ke 1532 akan menebak string…
Sebuah situs undian gratis berniat mengundi sebuah string berisi huruf dengan panjang 3. Mereka membuka slot tak terbatas untuk menebaknya. Tebakan benar akan mendapat hadiah 10 miliar. Pak Dengklek mengajak 17.576 bebeknya untuk ikut menebak dari AAA hingga ZZZ urut secara leksikografis (bebek ke-1 menebak AAA, bebek ke-2 menebak AAB, bebek ke-17.576 menebak ZZZ) agar dipastikan memenangkan hadiah. Jika string yang keluar adalah “OSN” maka bebek keberapa yang berhasil menebak dengan benar?
Dalam sebuah program pembelajaran, akan diberikan 50 mata pelajaran yang diberi nomor dari 1 sampai 50. Untuk setiap k, diketahui bahwa kelas untuk mata pelajaran bernomor k hanya diadakan pada semua hari yang bernomor kelipatan k. Jika hari dimulai dari nomor 1, hari dengan nomor berapakah yang merupakan hari ke-11 yang hanya ada tepat satu kelas?
Andi menuliskan dua buah bilangan bulat positif yang berbeda di papan. Kemudian, pada setiap langkah, ia menghapus bilangan yang lebih kecil dan menggantinya dengan bilangan yang lebih besar, sedangkan bilangan yang lebih besar ia ganti nilainya dengan dua kali nilai bilangan besar dikurangi nilai yang bilangan yang kecil sebelum diganti (sebagai contoh, apabila di papan tertulis bilangan 1 dan 3, maka ia akan mengganti 1 dengan 3 dan 3 dengan 5). Setelah beberapa kali langkah, ia mendapatkan nilai 101 dan 104. Bilangan berapa saja yang pada mulanya Andi tuliskan di papan?
Terdapat 2001 bola berwarna merah, 2023 bola berwarna biru, dan 2045 berwarna bola kuning. Kwak hanya suka warna merah dan biru; Kwek hanya suka warna biru dan kuning; Kwok hanya suka warna merah dan kuning. Ada berapa banyak cara pembagian bola-bola sedemikian sehingga Kwak, Kwek, dan Kwok masing-masing mendapat tepat 2023 bola? Kwak, Kwek, dan Kwok hanya ingin menerima bola dengan warna yang mereka sukai.
Diketahui terdapat 9 rute bus yang berbeda dengan rincian:
Pak Dengklek ingin pergi dari kota A menuju kota C kemudian pulang kembali ke A dengan melalui kota B atau tidak. Untuk menghemat biaya, saat perjalanan pergi ia tidak akan melalui kota yang sama lebih dari satu kali, begitu pun untuk perjalanan pulang. Jika saat pulang kembali dari kota C ke kota A, ia tidak mau menggunakan rute bus yang pernah dinaiki sebelumnya, maka berapa banyak cara pemilihan rute-rute bus?
Di bidang datar, terdapat n garis lurus. Garis-garis ini dapat berpotongan dengan garis lain, dan membagi bidang menjadi beberapa daerah. Secara informal, dua buah titik berada di daerah yang sama jika dua titik tersebut dapat dihubungkan tanpa melewati salah satu garis lurus yang diberikan.

Gambar di atas adalah contoh maksimum banyaknya daerah yang dapat dibentuk dengan 3 garis lurus, yakni sebanyak 7 daerah. Berapa maksimum banyaknya daerah yang dapat dibentuk dengan 100 garis lurus?
101
5050
5051
10100
10101
Bebek-bebek Pak Dengklek tinggal pada salah satu dari tujuh buah kandang yang dinomori 0 sampai 6. Terdapat beberapa jalan setapak yang menghubungi sepasang kandang. Untuk pergi dari satu kandang ke kandang lainnya, Pak Dengklek harus menelusuri jalan setapak tersebut. Berikut adalah peta kandang-kandang dan jalan setapak yang menghubungkan mereka:

Pak Dengklek sekarang berada di kandang bernomor 0, dan ia ingin menyiram tanaman yang berada di tiap jalan setapak. Maka, Pak Dengklek ingin menelusuri semua jalan setapak setidaknya sekali. Pak Dengklek dapat menelusuri sebuah jalan setapak dalam satu menit. Berapa waktu minimum (dalam menit) yang dibutuhkan Pak Dengklek untuk menelusuri semua jalan setapak setidaknya sekali?
12
13
14
15
16
Basuki sedang berada di lantai 7 akan menuju lantai 1 menggunakan lift. Lift bisa bergerak baik ke arah bawah maupun ke arah atas. Jarak antar lantai adalah 3 m. Ketika lift melewati lantai yang terdapat orang menunggu, maka lift akan mengambil orang tersebut. Kemudian lift akan bergerak ke atas atau ke bawah mengikuti aturan di bawah ini:
Diketahui beberapa orang selain Basuki yang sedang menunggu lift.
Mula-mula lift kosong dan berada di lantai 7, berapa jarak (dalam meter) yang ditempuh Basuki hingga sampai tujuan?
Kwak ingin mewarnai bilangan bulat dari 1 sampai 2023 dengan warna merah atau biru. Untuk sembarang dua bilangan bulat X dan Y di antara 1 sampai 2023, jika selisih X dan Y tepat 4 atau 7, maka setidaknya satu dari X atau Y berwarna merah. Kwak menginginkan agar banyaknya bilangan bulat yang berwarna merah seminimal mungkin. Berapa banyaknya bilangan yang berwarna merah?
Jawaban: ……….. {tuliskan jawaban dalam bentuk ANGKA saja}
Diketahui sebuah segitiga lancip dengan panjang ketiga sisinya masing-masing 22, 25, dan X. Segitiga lancip didefinisikan sebagai sebuah segitiga yang setiap sudutnya bernilai lebih dari 0 derajat dan kurang dari 90 derajat. Jika X merupakan bilangan bulat, tentukan jumlah dari nilai X minimum dan nilai X maksimum yang mungkin!
Jawaban: ……….. {tuliskan jawaban dalam bentuk ANGKA saja}
Kwak sedang melakukan sebuah permainan dengan Kwik. Sebelum permainan dimulai, Kwak memberikan Kwik selembar kertas yang berisi sebuah bilangan favorit Kwak.
Kwak : Aku sedang memikirkan dua bilangan yang berbeda. Apakah kamu bisa menebak?
Kwik : Hmm, apakah ada petunjuk?
Kwak : Kedua bilangan lebih dari 0 dan kurang dari 14.
Kwik : Apakah ada petunjuk lagi?
Kwak : Hmm… selisih dari perkalian dua bilangan ini dengan bilangan favoritku yang tertulis di kertas habis dibagi 16.
Kwik : Ah, saya sangat yakin sudah menemukan dua bilangan tersebut.
Dari percakapan di atas, jika Kwak dan Kwik tidak berbohong dan berpikir secara logis, berapakah jumlah dari dua bilangan yang dipikirkan Kwak?
Jawaban: ……….. {tuliskan jawaban dalam bentuk ANGKA saja}
Pak Dengklek mempunyai 5 bebek. Pak Dengklek ingin memberikan 2 mainan kepada masing-masing bebeknya. Pak Dengklek berada di mesin capit yang tertutup. Setiap kali bermain, Pak Dengklek harus membayar Rp 10.000 dan dijamin mendapat 1 mainan secara acak. Mesin capit menyediakan 16 boneka, 4 bola, 7 mobil-mobilan, dan 2 puzzle. Agar bebek-bebeknya tidak iri, Pak Dengklek ingin memastikan semua bebeknya mendapatkan kombinasi jenis mainan yang sama. Berapa uang minimal yang perlu dipersiapkan agar dijamin mendapat mainan yang diinginkan?
Jawaban: ……….. {tuliskan jawaban dalam bentuk ANGKA saja tanpa tanda baca dan tanpa simbol rupiah}
Sebuah situs undian gratis berniat mengundi sebuah string berisi huruf dengan panjang 3. Mereka membuka slot tak terbatas untuk menebaknya. Tebakan benar akan mendapat hadiah 10 miliar. Pak Dengklek mengajak 17.576 bebeknya untuk ikut menebak dari AAA hingga ZZZ urut secara leksikografis (bebek ke-1 menebak AAA, bebek ke-2 menebak AAB, bebek ke-17.576 menebak ZZZ) agar dipastikan memenangkan hadiah. Suatu tebakan akan mendapat hadiah sampingan sebesar 1 juta, jika antara tebakan dengan string “OSN” hanya beda 1 huruf atau ada 2 huruf yang tertukar. Berapa total uang yang didapatkan Pak Dengklek dari tebakan bebek-bebeknya?
Jawaban: ……….. {tuliskan jawaban dalam bentuk ANGKA saja tanpa tanda baca dan tanpa simbol rupiah}
Terdapat 60 petak yang dinomori dari 1 sampai 60. Petak-petak tersebut tersusun secara melingkar sehingga untuk setiap i (1 ≤ i ≤ 59), petak i terletak di sebelah kiri petak i + 1 dan petak 60 terletak di sebelah kiri petak 1. Tiga bebek Pak Dengklek yang bernama Kwak, Kwik, dan Kwek akan bermain pada petak-petak tersebut. Awalnya, mereka bertiga berada di petak 1. Dalam setiap detik, hal-hal berikut akan terjadi secara bersamaan:
Permainan dianggap selesai ketika ketiga bebek berada pada petak yang sama di saat yang sama setelah mulai bergerak. Petak nomor berapakah ketiga bebek akan berada saat permainan selesai?
Jawaban: ……….. {tuliskan jawaban dalam bentuk ANGKA saja}
Pemerintah Kabupaten Algoria berniat untuk menghubungkan keenam kecamatannya dengan jaringan Internet super cepat untuk meningkatkan perekonomian rakyatnya. Jaringan tersebut akan dibangun dengan membuat kabel yang menghubungkan antar kecamatan, sedemikian rupa sehingga antar setiap pasang kecamatan harus ada jalur melalui kabel-kabel yang menghubungkan keduanya (baik secara langsung maupun melalui kecamatan-kecamatan lain). Lebih lanjut, setiap kabel yang menghubungkan dua buah kecamatan harus dibangun melalui jalan yang menghubungkan dua buah kecamatan tersebut. Terdapat 9 jalan yang menghubungkan 6 kecamatan tersebut, sebagaimana terlihat pada gambar di bawah ini.

Keenam kecamatan ditandai dengan nomor 0 sampai 5, sedangkan angka pada setiap sisi jalan menunjukkan biaya yang diperlukan untuk memasang kabel pada sisi jalan tersebut. Pak Dengklek yang ditugaskan untuk merencanakan pembangunan jaringan Internet tersebut, telah menghitung bahwa biaya terkecil untuk menghubungkan semua kecamatan adalah 12, sebagaimana ditunjukkan pada gambar di bawah ini.

Namun, ketika Pak Dengklek ingin mengusulkan rencana pembangunan jalan sebagaimana terlihat pada gambar di atas, oleh atasannya rencana tersebut ditolak. Lebih lanjut, sang atasan meminta pak Dengklek mencari berapakah biaya terkecil kedua setelah nilai biaya terkecil (12) yang diusulkan Pak Dengklek tadi?
Jawaban: ……….. {tuliskan jawaban dalam bentuk ANGKA saja}
Misal K adalah nilai terbesar sedemikian sehingga (2023!)^(2023!) habis dibagi 42^K. Berapa banyaknya digit 0 berurutan di akhir K?
Jawaban: ……….. {tuliskan jawaban dalam bentuk ANGKA saja}
Pada suatu hari terjadi percakapan antara Kwak dan Kwik menggunakan bahasa bebek:
Jika Kwik akan menjawab bahwa “besok juga belajar Informatika”, apa yang akan diucapkan oleh Kwik?
Jawaban: ……….. {tuliskan jawaban dalam bentuk HURUF KECIL saja dengan setiap kata dipisahkan satu spasi saja}
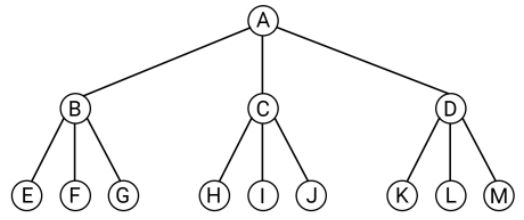
Pak Dengklek memiliki 13 buah benda pusaka yang dilabeli A, B, C, D, E, F, G, H, I, J, K, L, dan M dalam sebuah tanah yang masing-masing memiliki hubungan sebagai berikut:

Dari gambar di atas diketahui bahwa benda pusaka B, C, dan D memiliki kekuatan yang diturunkan dari benda pusaka A, benda pusaka E, F, dan G memiliki kekuatan yang diturunkan dari benda pusaka B, dst. Kemudian Pak Dengklek mendefinisikan sebuah fungsi kiri(X), tengah(X) dan kanan(X) suatu benda pusaka X yang didefinisikan sebagai benda pusaka yang posisinya sebagai turunan sebelah kiri, tengah, dan kanan. Sebagai contoh kiri(B)=E, tengah(B)=F, kanan(B)=G, tentunya benda pusaka yang tidak memiliki turunan, nilai fungsi kiri, tengah, dan kananya akan bernilai kosong. Selanjutnya Pak Dengklek mendefinisikan sebuah cara untuk mencari benda pusaka yang dia miliki yaitu dengan cara membuat fungsi cari sebagai berikut:
fungsi cari(x):
jika nilai x tidak kosong:
cari(kiri(x));
cari(tengah(x));
cari(kanan(x));
letakkan x dalam boxSetiap kali menemukan benda pusaka, Pak Dengklek akan meletakkannya dalam sebuah boks kosong pada posisi paling atas. Jika Pak Dengklek memulai pencarian dengan benda pusaka A yaitu cari(A) sampai semua benda pusaka ditemukan, tuliskan urutan benda pusaka dalam boks mulai dari posisi paling atas sampai posisi paling bawah.
Jawaban: ……….. {tuliskan jawaban dalam bentuk HURUF KAPITAL saja tanpa spasi}
Perhatikan program di bawah ini
int main() {
int a, b, c, d, x;
cin >>a>>b>>c>>d;
a = a + a;
b = a + b;
c = a + b + c;
d = a + b + c + d;
x = a + b + c + d;
cout << x;
return 0;
}
Jika program tersebut dijalankan dengan masukan 1 2 3 5 berapakah nilai x yang akan dicetak?
Jawaban: ……….. {tuliskan jawaban dalam bentuk ANGKA saja}
Perhatikan potongan program berikut!
if (a > b){
if (a > c) {
if (d > a){
x = d * d;
} else {
x = a * a;
}
} else {
if (d > c) {
x = d * d;
} else {
x = c * c;
}
}
} else {
if (b > c) {
if (d > b) {
x = d * d;
} else {
x = b * b;
}
} else {
if (d > c){
x = d * d;
} else {
x = c * c;
}
}
}
Jika nilai a=12, b=23, c=45, dan d=78, berapakah nilai dari x setelah potongan program tersebut dijalankan?
Jawaban: ……….. {tuliskan jawaban dalam bentuk ANGKA saja}
Perhatikan potongan program berikut:
for (int i = 0; i < m; i++){
if (i % 2 == 0)
for (int j = 0; j < i; j++)
cout << "*";
else
for (int j = 0; j < n; j++)
cout << "*";
}
Berapa banyak karakter bintang (*) akan tercetak jika diberikan nilai m = 30 dan n = 10?
Jawaban: ……….. {tuliskan jawaban dalam bentuk ANGKA saja}
Perhatikan potongan program berikut!
int x = 0;
int y = 0;
while(x * 7 < 986 && y * 4 <= 876 && x - y > -67) {
x += 2;
y += 3;
}
Berapa nilai akhir dari y setelah potongan program di atas dijalankan?
Jawaban: ……….. {tuliskan jawaban dalam bentuk ANGKA saja}
Perhatikan potongan program berikut!
int a[10] = {7, 4, 5, 0, 2, 3, 8, 1, 9, 6};
int sebelum = 0;
for(int i = 0; i < 10; i++) {
sebelum += a[i];
}
a[a[a[a[a[a[a[7]]]]]]] = a[a[a[a[a[a[a[6]]]]]]];
int setelah = 0;
for(int i = 0; i < 10; i++) {
setelah += a[i];
}
int ans = setelah - sebelum;
Berapa nilai ans setelah potongan program di atas dijalankan?
Jawaban: ……….. {tuliskan jawaban dalam bentuk ANGKA saja}
Perhatikan potongan program berikut!
int a = 0, b=0, c=0, d=0;
int ans = 0;
void kebersamaan(int x) {
ans += a;
a = b;
b = c;
c = d;
d = x;
}
int main() {
a += 4;
b += 3;
c += 7;
d += 2;
kebersamaan(5);
kebersamaan(2);
a += 2;
c += 3;
kebersamaan(3);
d += 4;
c += 4;
kebersamaan(0);
a += 5;
b += 6;
kebersamaan(1);
c += 9;
a += 7;
c += 2;
}
Berapa nilai akhir ans setelah potongan program di atas dijalankan?
Jawaban: ……….. {tuliskan jawaban dalam bentuk ANGKA saja}
Perhatikan fungsi-fungsi berikut!
int a, b, c, d;
int kiri() {
d--;
return c - a / b;
}
int kanan() {
d--;
return a + b - c;
}
void atas() {
c = c / 3;
a -= 5;
}
int bawah(int x, int y, int z) {
a = x;
b = y;
c = z;
d = 0;
while (kiri() > kanan()) {
d = a + b + c + d;
atas();
b = b + 3;
}
d += b * c;
d += x / y;
return d - 2 * a;
}
Berapa nilai yang dikembalikan dari pemanggilan bawah(42, 17, 265)?
Jawaban: ……….. {tuliskan jawaban dalam bentuk ANGKA saja}
Perhatikan fungsi berikut!
int bersih(int x, int y) {
return x + y;
}
int hijau(int x, int y) {
return x - y;
}
int berhiber(int x, int y) {
if(y == 0) {
return 0;
} else {
return bersih(x, y) + hijau(x, y) + berhiber(x - 1, y - 1);
}
}
Berapa nilai yang dikembalikan dari pemanggilan berhiber(20, 15)?
Jawaban: ……….. {tuliskan jawaban dalam bentuk ANGKA saja}
Diketahui dua buah fungsi merah() dan putih() sebagai berikut:
int info(int x) {
if(x == 0) {
return 1;
} else {
return info(x - 1) + format(x - 1);
}
}
int format(int x) {
if(x == 0) {
return 1;
} else {
return info(x - 1) + matika(x - 1);
}
}
int matika(int x) {
if(x == 0) {
return 1;
} else {
return format(x - 1) + matika(x - 1);
}
}
Berapa nilai yang dikembalikan dari pemanggilan info(9)?
Jawaban: ……….. {tuliskan jawaban dalam bentuk ANGKA saja}
Didefinisikan fungsi-fungsi sebagai berikut:
int hijau(int x, int y) {
if (x < y) {
x = x + y;
y = x - y;
x = x - y;
}
if (y == 0) {
return x;
}
return hijau(x - y, y);
}
int merah(int q, int w, int e, int r) {
if (q < w) {
return 0;
}
return hijau(q, e) + merah(q - r, w, e, r);
}
int biru(int n) {
int ans = 0;
ans += merah(n, 1, n, 1);
ans -= merah(2 * n, 2, n, 2);
return ans * 3;
}
Berapa nilai yang dikembalikan dari pemanggilan biru(69)!
Jawaban: ……….. {tuliskan jawaban dalam bentuk ANGKA saja}